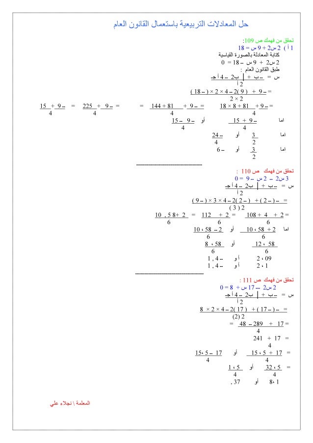
حل المعادلات التربيعية باستعمال القانون العام

حل المعادلات التربيعية باستعمال القانون العام

حل المعادلات التربيعية باستعمال القانون العام

حل المعادلات التربيعية باستعمال القانون العام ص 128 المصدر السعودي

حل المعادلات التربيعية باستعمال القانون العام ص 128 المصدر السعودي

حل المعادلات التربيعيه باستعمال القانون العام Youtube

حل المعادلات التربيعيه باستعمال القانون العام Youtube

تـــابع حل المعادلات التربيعية باستعمال القانون العام

تـــابع حل المعادلات التربيعية باستعمال القانون العام

حل المعادلات التربيعية باستعمال القانون العام كتاب التمارين ص 20 المصدر السعودي

حل المعادلات التربيعية باستعمال القانون العام كتاب التمارين ص 20 المصدر السعودي

حل المعادلات التربيعية باستعمال القانون العام تمييز عدد الحلول Youtube

حل المعادلات التربيعية باستعمال القانون العام تمييز عدد الحلول Youtube

حل المعادلات التربيعية باستعمال القانون العام تمييز عدد الحلول Youtube

1 حل المعادلات التربيعية باستعمال القانون العام

1 حل المعادلات التربيعية باستعمال القانون العام

مفهوم أساسي القانون العام منال التويجري حل المعادلات التربيعية باستعمال القانون العام رياضيات الفصل الثاني ثالث متوسط المنهج السعودي

مفهوم أساسي القانون العام منال التويجري حل المعادلات التربيعية باستعمال القانون العام رياضيات الفصل الثاني ثالث متوسط المنهج السعودي

رياضيات ثالث متوسط حل المعادلات التربيعية باستعمال القانون العام Youtube

رياضيات ثالث متوسط حل المعادلات التربيعية باستعمال القانون العام Youtube

1 حل المعادلات التربيعية باستعمال القانون العام

1 حل المعادلات التربيعية باستعمال القانون العام

الثالث متوسط الفصل الدراسي الثاني 1438 رياضيات حل المعادلات التربيعية باستعمال القانون العام 1 Youtube

الثالث متوسط الفصل الدراسي الثاني 1438 رياضيات حل المعادلات التربيعية باستعمال القانون العام 1 Youtube

رياضيات بطاقة شرح 7

رياضيات بطاقة شرح 7

القانون العام

القانون العام

درس حل المعادلات التربيعية القانون العام نجوى

درس حل المعادلات التربيعية القانون العام نجوى

حل المعادلات التربيعية باستعمال القانون العام

حل المعادلات التربيعية باستعمال القانون العام

مفهوم أساسي استعمال المميز محمد الكعبي حل المعادلات التربيعية باستعمال القانون العام رياضيات الفصل الثاني ثالث متوسط المنهج السعودي

مفهوم أساسي استعمال المميز محمد الكعبي حل المعادلات التربيعية باستعمال القانون العام رياضيات الفصل الثاني ثالث متوسط المنهج السعودي

5 حل المعادلة التربيعية بواسطة القانون العام رحلة معرفية في وحدة المعادلة التربيعية

5 حل المعادلة التربيعية بواسطة القانون العام رحلة معرفية في وحدة المعادلة التربيعية

أسئلة متنوعة عن حل المعادلة التربيعية لجنة مبحث الرياضيات مدرسة بنات نعلين الثانوية Facebook

أسئلة متنوعة عن حل المعادلة التربيعية لجنة مبحث الرياضيات مدرسة بنات نعلين الثانوية Facebook

مفهوم أساسي القانون العام منال التويجري حل المعادلات التربيعية باستعمال القانون العام رياضيات الفصل الثاني ثالث متوسط المنهج السعودي

مفهوم أساسي القانون العام منال التويجري حل المعادلات التربيعية باستعمال القانون العام رياضيات الفصل الثاني ثالث متوسط المنهج السعودي

1 حل المعادلات التربيعية باستعمال القانون العام

1 حل المعادلات التربيعية باستعمال القانون العام

درس حل المعادلات التربيعية باستعمال القانون العام الصف التاسع رياضيات الفصل الثاني المناهج البحرينية

درس حل المعادلات التربيعية باستعمال القانون العام الصف التاسع رياضيات الفصل الثاني المناهج البحرينية

حل المعادلات باستعمال القانون العام 1 Mp4 Youtube

حل المعادلات باستعمال القانون العام 1 Mp4 Youtube

شرح درس حل المعادلات التربيعية باستعمال القانون العام الرياضيات الصف الثالث المتوسط نفهم

شرح درس حل المعادلات التربيعية باستعمال القانون العام الرياضيات الصف الثالث المتوسط نفهم

الاقتران الاتربيعي الصف التاسع

الاقتران الاتربيعي الصف التاسع

درس حل المعادلات التربيعية القانون العام نجوى

درس حل المعادلات التربيعية القانون العام نجوى

أسئلة متنوعة عن حل المعادلة التربيعية لجنة مبحث الرياضيات مدرسة بنات نعلين الثانوية Facebook

أسئلة متنوعة عن حل المعادلة التربيعية لجنة مبحث الرياضيات مدرسة بنات نعلين الثانوية Facebook

درس حل المعادلات التربيعية باستعمال القانون العام للصف الثالث المتوسط بستان السعودية

درس حل المعادلات التربيعية باستعمال القانون العام للصف الثالث المتوسط بستان السعودية

حل المعادلات باستعمال القانون العام Mp3

حل المعادلات باستعمال القانون العام Mp3

رياضيات بطاقة شرح 7

رياضيات بطاقة شرح 7

مفهوم أساسي القانون العام منال التويجري حل المعادلات التربيعية باستعمال القانون العام رياضيات الفصل الثاني ثالث متوسط المنهج السعودي

مفهوم أساسي القانون العام منال التويجري حل المعادلات التربيعية باستعمال القانون العام رياضيات الفصل الثاني ثالث متوسط المنهج السعودي

1 حل المعادلات التربيعية باستعمال القانون العام

1 حل المعادلات التربيعية باستعمال القانون العام

9 المميز وجذور المعادلة التربيعية رحلة معرفية في وحدة المعادلة التربيعية

9 المميز وجذور المعادلة التربيعية رحلة معرفية في وحدة المعادلة التربيعية

حل المعادلات التربيعية باستعمال القانون العام

حل المعادلات التربيعية باستعمال القانون العام

تحضير درس حل المعادلات التربيعية باستعمال القانون العام مادة الرياضيات الصف الثالث المتوسط الفصل الدراسى الثانى

تحضير درس حل المعادلات التربيعية باستعمال القانون العام مادة الرياضيات الصف الثالث المتوسط الفصل الدراسى الثانى

حل المعادلات التربيعية باستعمال القانون العام كتاب النشاط

حل المعادلات التربيعية باستعمال القانون العام كتاب النشاط

حل المعادلات التربيعية بالقانون العام والمميز Youtube

حل المعادلات التربيعية بالقانون العام والمميز Youtube

تحضير عين درس حل المعادلات التربيعية باستعمال القانون العام مادة الرياضيات الصف الثالث متوسط

تحضير عين درس حل المعادلات التربيعية باستعمال القانون العام مادة الرياضيات الصف الثالث متوسط

1 حل المعادلات التربيعية باستعمال القانون العام

1 حل المعادلات التربيعية باستعمال القانون العام

شرح درس حل المعادلات التربيعية بإستعمال القانون العام الدرس الرابع رياضيات ثالث متوسط الفصل الثاني المحيط التعليمي

شرح درس حل المعادلات التربيعية بإستعمال القانون العام الدرس الرابع رياضيات ثالث متوسط الفصل الثاني المحيط التعليمي

تـــــــــــابع حل المعادلات التربيعية باستعمال القانون العام

تـــــــــــابع حل المعادلات التربيعية باستعمال القانون العام

Source : pinterest.com